首页  汉语词典  英英词典


请输入您要查询的词语:

 

词语 正弦定理
释义 正弦定理
zhèng xián dìng lǐ

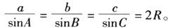
三角形的三条边跟它们的对角的正弦之比相等。设三角形的三条边分别为a、b、c,它们的对角分别为A、B、C,外接圆半径为R,则有


随便看

 

汉语词典收录114713条汉语词语,以字带词,兼具字典、语文词典和百科词典功能,基本涵盖了全部常用词语的释义及用法,是您工作、学习的好帮手。

 

Copyright © 2000-2024 mdict.net All Rights Reserved
更新时间:2026/5/31 23:18:00