首页
汉语词典
英英词典
词语
组合
释义
[组合]
①
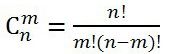
从n个不同的元素中,任取m(m≤n)个元素并成一组,叫做从n个不同元素中取出m个元素的一个组合。其组合数用
表示:
。
②
组织,合成。
③
组合而成的整体。
随便看
匀称
包
包举
包产到户
包公
包办
包厢
包围
包孕
包庇
包扎
包拯
包揽
包涵
包租
包罗万象
包藏祸心
包虫病
包袱
包袱彩画
包豪斯校舍
包身工
包银
包销
匆
汉语词典收录42877条汉语词语,以字带词,兼具字典、语文词典和百科词典功能,基本涵盖了全部常用词语的释义及用法,是您工作、学习的好帮手。
Copyright © 2000-2024 mdict.net All Rights Reserved
更新时间:2026/5/31 6:32:29